Meta-Learning Approaches for Improving Detection of Unseen Speech Deepfakes
IEEE Spoken Language Technology Workshop (SLT) 2024, Macau, China
Problem Statement
- Deepfake detection systems struggle to generalize to unseen attacks
- No access to the latest TTS/VC generators
- Adapt to new attack/domain with few available samples
- Decrease chances for zero-day (unknown) attack
Take Home Message
- ProtoMAML and ProtoNET adapt to new attacks/domains with limited number of samples
- ProtoMAML demonstrates superior adaptability compared to ProtoNet, but demands higher computational resources
- Few-Shot Adaptation keeps system up-to-date to new deepfakes
Solutions
Meta Learning
- Meta-Training - learn generalized parameters on multiple tasks
- Adaptation - few-shot learning for unseen deepfakes
- Evaluation - testing on query samples to assess adaptation
A. Prototypical Network - ProtoNet
Train Prototype Representation
Evaluation: Nearest to a Prototype
B. Optimization-based adaptation - ProtoMAML
Train: Optimize for Each Task
Evaluation: Adapt and Test on Query
Results
Baseline architecture
Summary. Baseline / ProtoNET / ProtoMAML. EER, %
ProtoNet Adaptation with 2 - 256 Shots
ProtoMAML Adaptation with 2 - 96 Shots
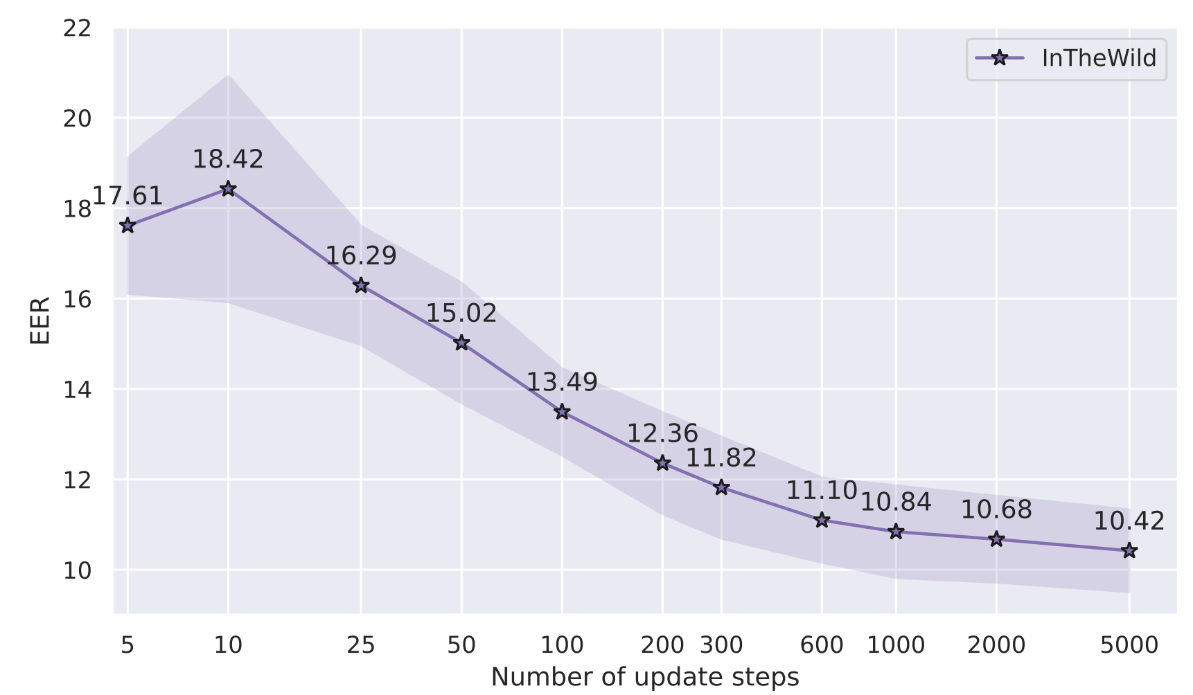
ProtoMAML: Effect of Adaptation Steps
Recommendations
- Use Meta-learning for continuous adaptation and keep deepfake detection systems up-to-date
- Use ProtoNet when have resource constraints
- Use ProtoMAML for more accurate adaptation
Conclusions
- Adapting a pre-trained model using a small number of samples from a new attack/domain significantly enhance detection performance
- For example, on out of domain InTheWild dataset the EER is improved from 21.67% to 10.42% using only 96 samples from the unseen dataset
- ProtoMAML outperforms the non-parametric ProtoNet
BibTex
@article{MetalearningDeepfake2024,
title={Meta-Learning Approaches for Improving Detection of Unseen Speech Deepfakes},
author={Ivan Kukanov and Janne Laakkonen and Tomi Kinnunen and Ville Hautamäki},
year={2024},
eprint={2410.20578},
archivePrefix={arXiv},
primaryClass={eess.AS},
url={https://arxiv.org/abs/2410.20578}
}